송풍기에 의해 생긴 기계적 에너지가 공기에 어떻게 전달하고 형성되는 압력 분포는 어떻게 되는가?

송풍기(Fan, Blower 등) 압력 변화
공기는 “압력”의 차이에 따라 흐른다. 따라서 인위적으로 유체흐름을 얻기위해서 송풍기 등을 이용해 강제환기를 하는데 이 때 압력의 변화를 이해하는 것이 중요하다.
일반적으로 다음 그립과 같이 송풍기 앞의 후드와 덕트에서 항상 대기압보다 낮은 음압 상태가 된다.

덕트내에서의 압력의 종류
■ 동압 혹은 속도압(Velocity Pressure, VP)
■ 정압(Static Pressure, SP)
■ 전압(TP) = 속도압(VP) + 정압(SP)
잠재에너지(Potential energy)를 운동에너지라는 속도압으로 변환하여 오염된 공기가 흐르게 하는 것이 산업환기의 기본 개념이다.
덕트내 공기의 흐름을 위해 송풍기 등을 이용한 에너지를 제공하여 “압력” 차이를 형성하여 공기를 흐르게 한다.
송풍기 등에 의해 생긴 정압(SP)은 공기의 밀도에 의해서 형성되며, 계속해서 동압(VP, 속도압)으로 변환된다.
다시 말해서, 송풍기(기계적 에너지)가 공기 밀도에 변화를 일으켜 압력의 차이(정압)를 만들어 내면, 이러한 압력차이가 정지상태에 있는 유체(공기)에 작용하여 속도 또는 가속을 일으킨다.(SP --> VP)
정압이 속도압으로 변하여 공기가 흐르고, 정압에서 속도압으로 변환되는과정에서 필연적으로 손실(열, 진동, 소음 등)이 발생되는데 이를 압력손실이라 한다.
즉 공기의 흐름에는 반드시 압력 손실이 발생하고 원하는 유량을 흐르기 위해서는 압력손실이 클 수록 더 많은 에너지 필요하다.
즉, 국소배기장치로 들어가는 공기는 이동되는데 모든 과정에서 손실이 발생된다. 그 손실계수를 압력손실 계수(K, F, 세타 등)라고 한다. 이 계수는 각 장치에서 특성에 따라 달라진다.
따라서 압력평형의 유지를 위해 덕트내의 공기흐름은 압력손실이 가능한 한 최소가 되도록 설계하는 것이 원칙이고, 주덕트와 지덕트의 연결점에서 각각의 압력손실의 차가 5% 이내가 되도록 압력 평형이 유지되도록 하여야 한다.
동압 혹은 속도압(Velocity Pressure, VP)
공기가 가지고 있는 운동에너지에 해당되는 압력, 오염된 공기가 흐르게 하는 유용한 일을 함
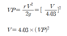
유체의 압력과 속도, 에너지의 관계를 수량적으로 나타낸 법칙이 베르누이(Bernoulli) 이론이다.
이 이론으로 부터 다음 식이 유도되어 동압(VP)을 계산할 수 있다.

여기서
r = 공기의 밀도(1.21 ㎏/㎥)
g = 공기의 중력가속도(9.81 ㎨)
V = 공기의 반송속도(㎧)
속도압을 알면 속도를 구할 수 있고, 속도를 알면 속도압을 구할 수 있다.
여기서 중요한 것이 반송속도이다.
“반송속도” 라 함은 덕트를 통하여 이동하는 유해물질이 덕트 내에서 퇴적이 일어나지 않는 상태로 이동시키기 위하여 필요한 최소 속도를 말한다.
덕트에서의 반송속도는 국소배기장치의 성능향상 및 덕트내 퇴적을 방지하기 위하여 유해물질의 발생형태에 따라 다음 <표>에서 정하는 기준에 따라야 한다.
<표> 유해물질의 덕트내 반송속도

Reference : KOSHA GUIDE W-1-2019 (산업환기설비에 관한 기술지침)
'공학 기술 > 공학기본' 카테고리의 다른 글
| 에너지열량 환산기준 (0) | 2021.06.02 |
|---|---|
| ppm 사용 방법 (0) | 2021.04.20 |
| 표준상태조건, 표준조건(STP), 정상조건(NTP), SATP, ISA 요약 (0) | 2021.04.02 |
| 열처리 기술지침 (0) | 2021.03.22 |
| 금속 열처리 종류 (0) | 2021.03.18 |
댓글