안전밸브 등 과압발생 원인 중 외부 화재에 대한 소요 분출량 계산을 위해설비의 액체 접촉 면적(Wetted Area)을 알아야 한다. 이와 관련하여 경판의 면적 계산식을 공유하고자 한다.

Vertical 경판(head) 넓이
경판(head)의 유형
경판(head)은 압력용기와 저장탱크(storage tank) 열교환기(heat exchanger) 탑조류(tower)에 사용된다.
경판의 종류는 다음 그림과 같이 평면(flat), 반구형(hemispherical), 접시형(flanged and dished or torispherical), 반타원형(semi ellipsoidal) 경판 등으로 구분된다.
![]() |
Inside Diameter (ID), Knuckle Radius (R), Dish End Total Height (H), Straight Face (SF) |
![]() |
Inside Diameter (ID), Crown Radius (C.R), Knuckle Radius (K.R), Dish End Total Height (H), Straight Face (SF) |
| Flat Heads | 2:1 Ellipsoidal Heads or Semi Elliptical Heads | ||
![]() |
Inside Diameter (ID), Crown Radius (C.R), Knuckle Radius (K.R), Dish End Total Height (H), Straight Face (SF) |
![]() |
Inside Diameter (ID), Crown Radius (R), Dish end Total Height (H), Straight Face (SF) |
| Torispherical Heads or Flange and Dished Heads |
Hemispherical Heads | ||
<그림 1> Typical head types of pressure vessels
Vertical Cylindrical Vessel 경판 액체 접촉 면적 계산식
아래 그림은 수직 원통형 용기에 대한 액체 접촉 면적과 부분적으로 채워진 액체로서 각 설비의 명칭을 설명하고 있다.
![]() |
A:Wetted Area
Di:Inside Diameter of Vessel
Do:Outside Diameter of Vessel
h:Liquid level above vessel bottom
L:Length of vessel, tan-line to tan-line
Lf:Straight Flange
R:Inside Vessel Radius
Rc:Inside crown radius
Rk:Inside knuckle radius
t:Vessel Wall Thickness
Vp:Partially Filled Liquid Volume
Vt:Total Volume of head or vessel
z:Inside Dish Depth
ε:Eccentricity of elliptical heads
|
<그림 2> 수직 원통형 용기 각부 명칭
아래 내용은 하부 경판에 부분적으로 액체가 채워져 있을 경우의 계산식이다.
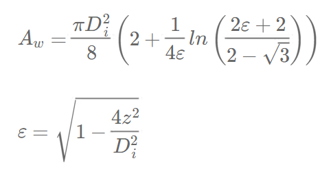
1. 반타원형(semi ellipsoidal or semi elliptical)
![]() |
![]() |
Aw:Wetted Area
Di:Inside Diameter of Vessel
h:Liquid level above vessel bottom
L:Length of vessel, tan-line to tan-line
Rc:Inside crown radius(typical 0.8 Di)
Rk:Inside knuckle radius (typical 0.15 Di)
z:Inside Dish Depth
ε:Eccentricity of elliptical heads
|
![]() |
For Elliptical head![]() |
d= Vessel inside diameter |
* Source : https://webwormcpt.blogspot.com/2009/12/calculate-wetted-surface-area-for.html
2. 반구형(hemispherical)
![]() |
![]() |
A:Wetted Area
h:Liquid level above vessel bottom
Rc:Inside crown radius
|
3. 접시형(flanged and dished or torispherical)
![]() |
![]() |
Aw:Wetted Area
Di:Inside Diameter of Vessel
h:Liquid level above vessel bottom
L:Length of vessel, tan-line to tan-line
Rc:Inside crown radius(0.9~0.95 Di)
Rk:Inside knuckle radius (0.06~0.1 Rc)
z:Inside Dish Depth
ε:Eccentricity of elliptical heads
|
728x90
반응형
'공학 기술 > 공정설계' 카테고리의 다른 글
| Vessel 내부 부피 계산 (1) | 2024.01.27 |
|---|---|
| Horizontal 경판(head) 넓이 (0) | 2024.01.25 |
| 용기 충전 작업 중 노출량 추정 (0) | 2024.01.13 |
| 비파괴검사율 선정 (2) | 2024.01.11 |
| Breather Valve 배출량 (1) | 2023.12.29 |













댓글